MATLAB Number ONE
  • Home
  • Services
    • MATLAB Consulting services
    • Online tutorial and troubleshooting
    • MATLAB2Python
    • Python2MATLAB
  • blog
  • Shop
    • Buying Guide
  • Forum
  • About us
  • Contact Us
    • FAQ
    • Privacy policy
    • Terms and conditions
Select Page

Aircraft Dynamics

data mining

Aircraft Dynamics

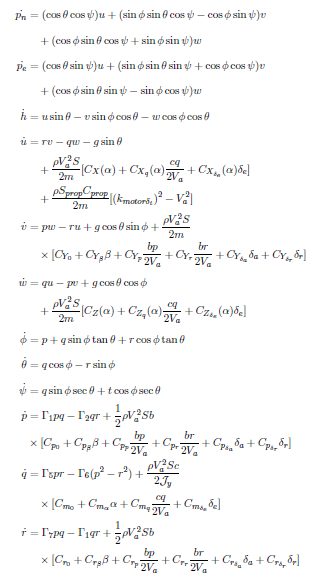
12-state equations of motion

12-state equations of motion

 

 

Submit a Comment Cancel reply

You must be logged in to post a comment.

blank

Cart

Troubleshooting and online tutorials

blank

Product Categories

  • VHDL Code
  • JAVA Code
  • HSPICE netlist
  • Arduino Code
  • Python code
  • Cpp Code
  • MATLAB Tutorial video
  • Deep Learning
  • Machine Learning
  • MATLAB code
  • Fuzzy System
  • MATLAB training video

Product tags

algoritmo genético ant colony system Arduino microcontroller Bildsegmentierung Clustering data mining face recognition genetic algorithm Gesichtserkennung Image denoising Image Processing image segmentation Kalman Filter local binary pattern Matlab MATLAB कोड MATLAB コード MATLAB 代碼 Particle swarm optimization Procesamiento de imágenes reconocimiento facial representación dispersa Sparse Representation Support vector machine Visual tracking Микроконтроллер Arduino Обработка изображений генетический алгоритм код MATLAB распознавание лиц التعرف على الوجوه आनुवंशिक एल्गोरिथ्म चेहरा पहचान छवि प्रसंस्करण छवि विभाजन स्पैस प्रतिनिधित्व 人臉識別 圖像分割 圖像去噪 画像セグメンテーション 画像処理 稀疏表示 遺伝的アルゴリズム 遺傳演算法 顔認識
  • Svenska
  • Deutsch
  • English
MATLAB ONE 2011-2024